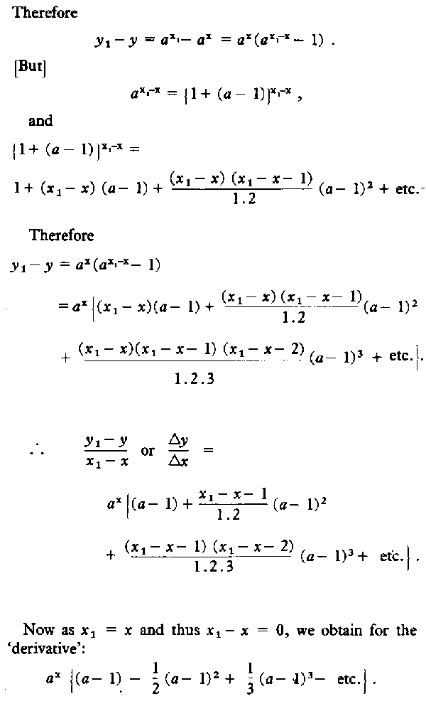
Marx's Mathematical Manuscripts
next page